You’re out there rucking, but you have no clue how many calories you’re burning. It feels tougher than walking. But how much tougher? Most people just guess. And honestly, most guesses are way off.
I remember my first real ruck, fifteen kilograms on my back. Every step hit different. What used to feel easy suddenly demanded real effort. That’s when I started wondering, does rucking burn more calories than regular walking, and how much am I actually burning right now?
That question stuck with me. So I built the rucking calorie calculator.
I wanted a clear, honest answer. Just plug in your stats and see how much your effort really adds up.

So, what is a rucking calorie calculator?
A rucking calorie calculator shows calories burned. It uses body weight, pace, and ruck load. Terrain type also changes your calorie estimate. Results are more accurate than step-based trackers.
When I switched from walking to rucking, I didn’t need to run or spend extra time to see results. Just adding weight made every session count. That’s why I keep coming back to this calculator. It tracks the real effort you put in, not just your steps.
In This Post……
- What Is a Rucking Calorie Calculator?
- How to Use the Rucking Calorie Calculator (Free Tool)
- The Science Behind the Calculator (Pandolf Equation Explained)
- Rucking Calorie Calculator Variations
- FAQs
- How many calories do I burn rucking?
- Does rucking really burn that many calories?
- What is the 9 4 4 rule for calories?
- What burns 500 calories in 30 minutes?
- What burns 700 calories a day?
- How many calories do 10,000 steps a day burn?
- What is the laziest way to burn calories?
- How can I lose 5 lbs in 2 weeks?
- Final Thoughts
What This Tool Helps You Do
- Estimate calories burned per session
- Adjust load, pace, and incline.
- Track progress for fat loss or endurance
[Tool]
What Is a Rucking Calorie Calculator?
A rucking calorie calculator tells you how many calories you actually burn when you walk with extra weight. Think backpack, weighted vest, or anything that makes your walk harder. Most trackers just look at your steps or distance. This one goes further. It considers your body weight, the load you carry, your pace, and even the terrain. That matters, because rucking burns way more calories than regular walking, which is one of the key benefits of rucking.
I’ll be honest with you. Most fitness apps just don’t get rucking right. They ignore the weight on your back, so the calorie numbers always feel off. That’s why I built this rucking calorie calculator. When I finally used something that counted the load, the numbers made sense. They matched how tired I felt and the progress I was actually making.
Experts often note, “Load carriage dramatically increases energy expenditure compared to unloaded walking.”
Quick Summary:
- Gives you a real calorie estimate, not just a guess
- Takes your weight, speed, and the ground you cover into account
- Helps you use rucking for real fat loss and better results
How to Use the Rucking Calorie Calculator (Free Tool)
I use this tool to estimate how many calories I burn during weighted walks by adjusting load, pace, and incline. The more accurate the inputs, the more useful the results, especially when I’m comparing sessions or tracking long-term progress.

Input Your Data
Whenever I finish a ruck, I plug in my details right away. For example, after a steady 60-minute walk with a loaded pack, I enter everything to keep my data consistent.
- Body weight (kg / lbs): I stick with metric when possible for better accuracy
- Ruck or vest weight: Total load I carried, whether it’s a backpack or weighted vest
- Distance or time: I usually log time since it’s easier to track consistently
- Pace: My outdoor walking speed or treadmill setting
- Incline: This matters a lot if I’m doing hills or using a treadmill
Example: If I’m 80 kg carrying a 20 kg load at a moderate pace, the calorie burn jumps way higher than a normal walk. Seeing that difference in the calculator makes the effort feel real.
Get Your Results
Once everything is entered, the calculator gives me a clear breakdown of how that session actually performed.
- Calories burned per hour
- A sense of intensity based on output
- Total calories burned for the session
- A way to track and compare workouts over time
- A rough comparison between walking and running effort
- Insight into how efficient my session was
I use this like a calorie tracker to fine-tune my training. If the numbers drop, I adjust pace or load. If they improve, I know I’m progressing in the right direction.
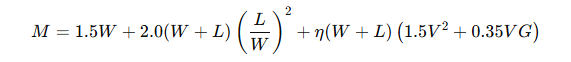
The Science Behind the Calculator (Pandolf Equation Explained)
The Pandolf Equation is the foundation behind accurate rucking calorie calculators.
It estimates how much energy you actually burn when walking with weight.

The Equation

What Each Variable Means
- M = Metabolic rate (watts)
- W = Body weight (kg)
- L = Load weight (kg)
- V = Speed (m/s)
- G = Grade (incline, %)
- η (eta) = Terrain factor (e.g., road, trail)
Here’s how it actually works.
When I built this calculator, I didn’t want another generic estimate. I wanted something that actually matches what happens during a real ruck. So I focused on the factors that matter most.
- Base walking cost (body weight):
Even without extra weight, your body burns energy just to move. For example, an 80 kg person already has a solid baseline calorie burn. - Extra load impact (load weight):
Add a 15 to 20 kg pack, and the effort increases right away. The calculator scales this properly so the output reflects that added demand. - Movement intensity (speed):
Speed plays a huge role. For example, moving from a relaxed pace to a brisk pace with the same load quickly raises the calorie estimate. - Environmental difficulty (terrain):
Terrain matters too. Even a small uphill or a rough trail makes your body work a lot harder than walking on flat ground.
While building this, one thing became clear. Load increases effort steadily, but speed and incline drive the biggest jumps in energy expenditure, which is exactly what the calculator is designed to capture.
Quick Summary:
- Calculates real energy expenditure under load
- Uses weight, load, speed, and terrain
- More accurate than basic calorie formulas
Rucking Calorie Calculator Variations
I noticed there are a lot of rucking calorie calculators out there. Some use different units.
Some factor in the environment or the tools you use.
Each one tweaks the calorie estimate based on how you track your ruck.

Common Variations
- Rucking calorie calculator (kg / metric):
Uses kilograms and meters. I prefer this because most scientific models (like the Pandolf model) use metric units. - Rucking calorie calculator (treadmill):
I tested these on treadmills. They track speed and incline well. But I realized they miss the ups and downs of real terrain. That can throw off your calorie numbers. - Rucking calorie calculator (incline-based):
Includes gradient. From my experience, adding incline significantly increases energy expenditure and gives more realistic results. - Rucking calorie calculator (GORUCK-style):
These focus on standard ruck weights and training setups. I found them helpful for sticking to a plan. - Rucking calorie calculator apps:
I tried a few apps. They give you real-time calorie numbers, which is handy. But if your inputs are off, so are your results. - Best rucking calorie calculator:
From what I’ve seen, the best calculators factor in your weight, pack, pace, and terrain. That’s when the numbers start to make sense.
Quick Summary:
- Metric calculators match up better with the science.
- Incline and terrain improve accuracy.
- Apps are easy, but only as good as your inputs.
- If you want real accuracy, track every variable you can.
FAQs
How many calories do I burn rucking?
You burn about 300–600+ calories per hour rucking, depending on body weight, load, pace, and terrain. Heavier loads and incline increases calorie burn
Does rucking really burn that many calories?
Yes. Carrying weight increases energy expenditure, making rucking burn significantly more calories than regular walking.
What is the 9 4 4 rule for calories?
It refers to macronutrients: fat = 9 kcal/g, protein = 4 kcal/g, carbs = 4 kcal/g. It’s used to estimate calorie intake.
What burns 500 calories in 30 minutes?
High-intensity rucking, running, or cycling can burn ~500 calories in 30 minutes, depending on effort and body weight.
What burns 700 calories a day?
Long rucking sessions, combined workouts, or sustained cardio can burn 700+ calories daily with enough intensity and duration.
How many calories do 10,000 steps a day burn?
Typically 300–500 calories, depending on body weight, pace, and walking conditions.
What is the laziest way to burn calories?
Low-effort options include walking, standing more, or light rucking, which increases calorie burn without high impact.
How can I lose 5 lbs in 2 weeks?
Maintain a calorie deficit through diet and consistent activity like rucking, aiming for safe, steady fat loss.
Final Thoughts
Rucking stands out as a practical way to increase calorie burn without the joint stress of running. It combines strength and cardio, making it more efficient than regular walking while remaining sustainable long term. From my experience, it’s one of the easiest ways to stay consistent and improve overall fitness.
Compared to other cardio, rucking offers a better balance of intensity and recovery. If you want accurate results, use a proper rucking calorie calculator to track your progress and optimize your sessions.

Leave a Reply